Lompat ke konten Lompat ke sidebar Lompat ke footer

Collection Reciprocal Of 2 5 Most Popular

Collection Reciprocal Of 2 5
Most Popular
. Like going to the shops and then returning home again. Multiply the numerator by the reciprocal of the denominator.

reciprocal, reciprocal function
reciprocal, reciprocal function from www.mathnstuff.com
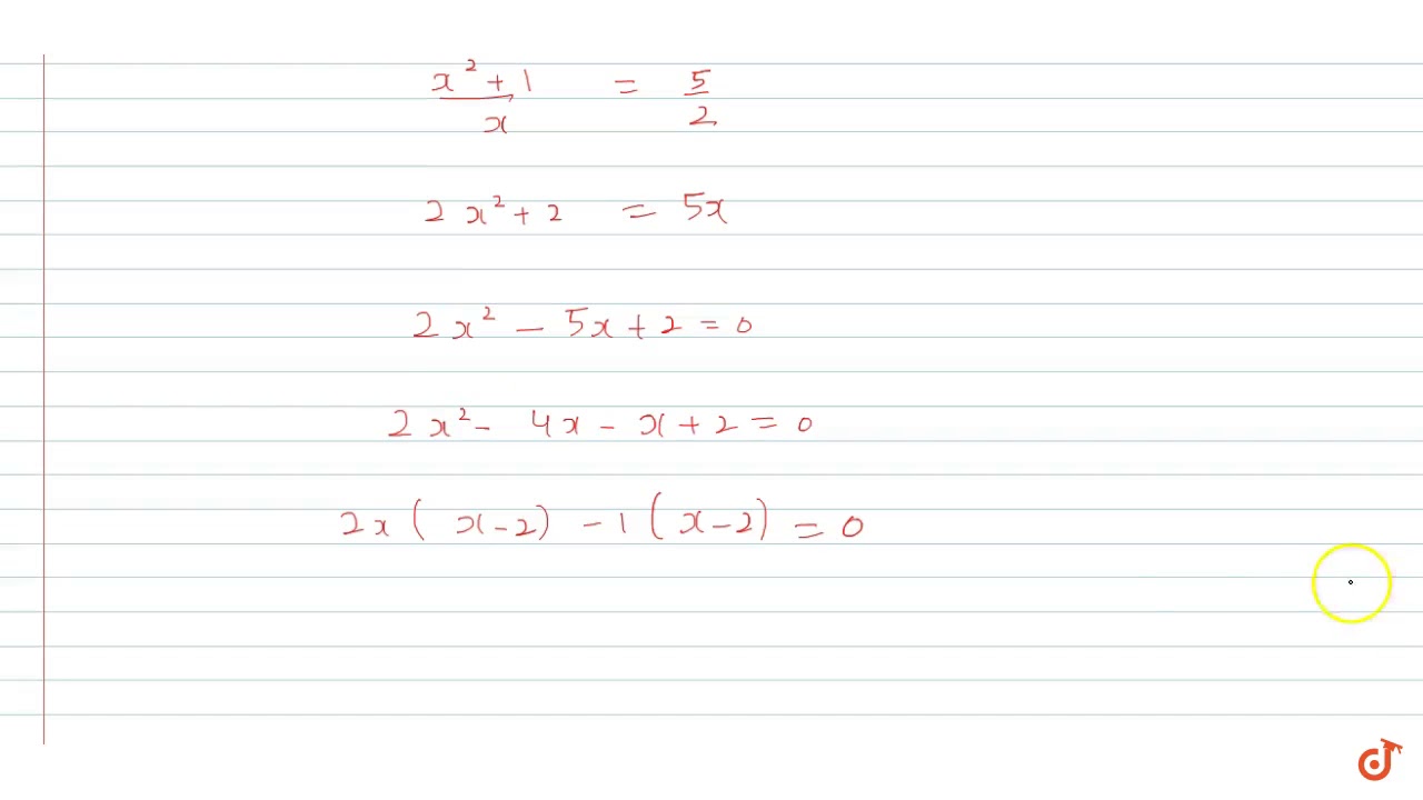
The reciprocal of 2 is. The reciprocal would be 5/2. There is very nice fact about reciprocals.

To find a reciprocal you divide your number into 1.

Reciprocal of x = 1/x to find the reciprocal of 2.5, divide 1 by 2.5: The reciprocal of is and after eliminating the power. If the product of two numbers is 1, then the two numbers are said to be reciprocals of each other. Reciprocal of the fraction is fraction that is turned upside down, i.e.


Posting Komentar untuk "Collection Reciprocal Of 2 5 Most Popular"