Lompat ke konten Lompat ke sidebar Lompat ke footer

Tutorials Cube Root Of 500 most complete

Tutorials Cube Root Of 500
most complete
. Cube root of 500 can be represented as 3√500. This free root calculator determines the roots of numbers, including common roots such as a square root or a cubed root.

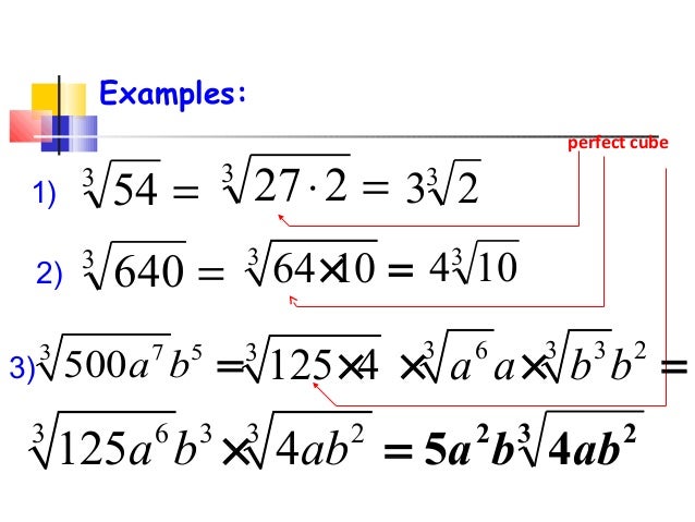
Cube Roots from CCSS
Cube Roots from CCSS from image.slidesharecdn.com
See, below on this web page, details on how to calculate this square root using the babylonian method. Most calculators use trial and error to find a cubed root. Cuberoot of 3 is 1.44.

Simplify cube root of 500.

All nonzero real numbers, have exactly one real cube root and a pair of complex conjugate cube roots, and all nonzero complex numbers have three distinct complex cube roots. Cube root of 500 can be represented as 3√500. So the resultant dataframe will be. The cube root is that number the cube of which itself gives the given number.


Posting Komentar untuk "Tutorials Cube Root Of 500 most complete"