33+ Central Angle Theorem Most Popular
33+ Central Angle Theorem
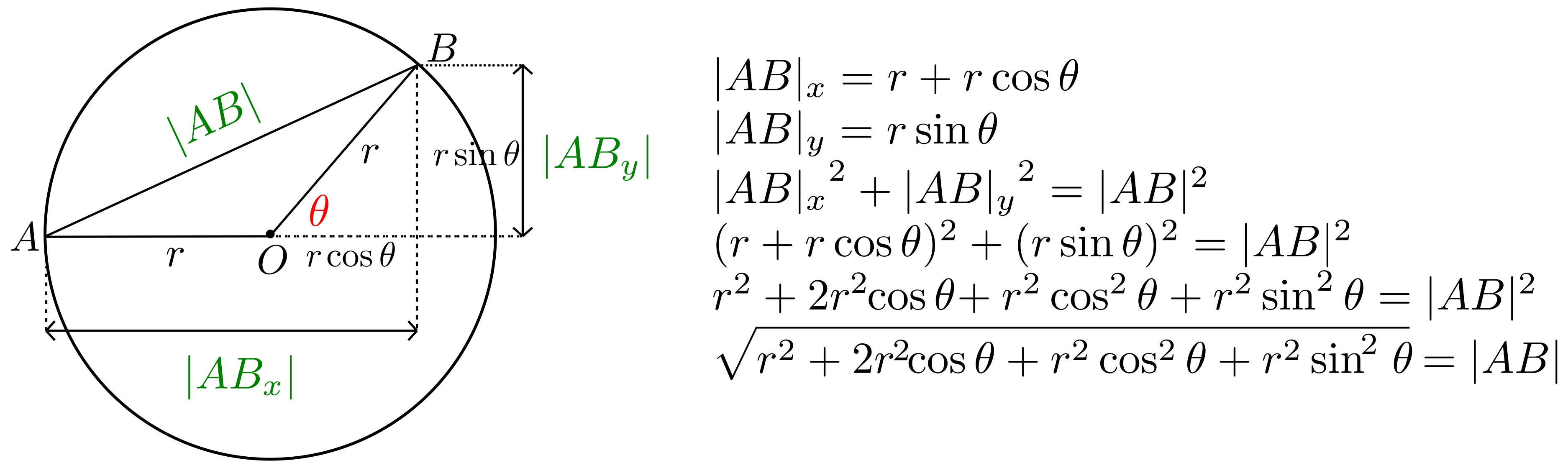
Most Popular. The central angle theorem states that the central angle from two chosen points a and b on the circle is always twice the inscribed angle from those two points. The central angle theorem states that the inscribed angle is half the measure of the central angle.
An angle inscribed across a circle's because:
The inscribed angle's measure is half that of the central angle of the same arc, as we an interesting result of the inscribed angle theorem is that the only thing that matters is the arc on the perimeter. Congruent central angles implies congruent centrl arcs theorem. The central angle theorem states that the measure of inscribed angle (∠apb) is always half the measure of the central angle ∠aob. The inscribed angle theorem or the central angle theorem states that the size of the central angle is these parts and angles are mutually supported by certain theorems, e.g., the inscribed angle.





Posting Komentar untuk "33+ Central Angle Theorem Most Popular"