Lompat ke konten Lompat ke sidebar Lompat ke footer

65+ Simple And Compound Interest Calculator Full

65+ Simple And Compound Interest Calculator
Full
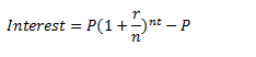
. The following formula can be used to find out the compound interest Just provide the interest percentage and you'll know how much that loan costs.

A Simple Compound Interest Calculator
A Simple Compound Interest Calculator from staging.teachthought.com
Suppose you give \$100 to a bank which pays you 10% compound interest at compound interest calculator. To see how compound interest differs from simple interest, use our simple interest vs compound interest calculator. Compound interest can be calculated with a simple formula.

There are two basic types of interest:

Now that you have the formula, you can use the calculator below to solve your homework problems. Interest earned is added to the principal, forming a new base on which the next round of interest is calculated. Use our compound interest calculator at. Interest = principal × interest rate × term.


Posting Komentar untuk "65+ Simple And Compound Interest Calculator Full"